Milchqualität: Fettsäuren
Eine der am häufigsten diskutierten Theorien zu automatische Melksysteme betrifft die Fettqualität.
Frühere Studien haben gezeigt, dass das Fett bei automatischen Melksystemen stärker beschädigt wird als bei herkömmlichen Melksystemen. Capronsäure und Buttersäure sind die Hauptfettsäuren, die für den unerwünschten ranzigen Geschmack in gereiftem Käse verantwortlich sind.
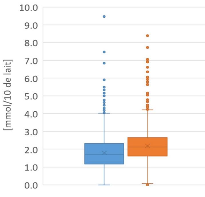
Mithilfe einer von Agroscope entwickelten Analysemethode konnten diese beiden Fettsäuren in der Milch aus automatischen und herkömmlichen Melksystemen nachgewiesen werden. Die folgenden Grafiken, Abb.1 und Abb.2 veranschaulichen den signifikanten Unterschied zwischen den jeweils besten 25 % der beiden Methoden.


Von den 50 im Rahmen der Studie installierten AMS verzeichneten 21 Erzeuger einen Rückgang des Gehalts an freien Fettsäuren, davon neun einen signifikanten Rückgang. Bei den übrigen 29 Milcherzeugern stieg hingegen der Gehalt an freien Fettsäuren, bei 22 davon signifikant.
Zusammenfassung
Auch wenn die Situation viel komplizierter ist, es viele Variablen gibt und das AMS in manchen Fällen die Milchqualität verbessert hat, kann man im Durchschnitt sagen, dass der Anteil an Fettsäuren, insbesondere an Buttersäure und Capronsäure, in der mit Robotern gemolkenen Milch höher ist.
Ein AMS bedeutet also nicht zwangsläufig eine schlechtere Milchqualität, sondern es hängt von vielen Faktoren ab. Eine im Jahr 2023 von Woodhouse durchgeführte Studie analysierte die Faktoren, die für den Anstieg der freien Fettsäuren verantwortlich sind. Eine Zusammenfassung der Ergebnisse ist in der folgenden Grafik dargestellt.
